Standard Basis For R^2 . $(a + bi, c + di)$)? I know the standard for $\bbb. A natural basis of r2 is given by the vectors [1;0]t and [0;1]t. We take any basis in v, say, →v1,., →vn. | | x | | = √x ⋅ x = √(x1)2 + (x2)2 + ⋯(xn)2. the vectors $(1,2)$ and $(2,1)$ are linearly independent, and because $\text{dim}(\mathbb{r}^2)=2$. 0 1 gis called the standard basis of. The collection {i, j} is a basis for r 2, since it spans r 2 and the vectors i and j are linearly independent (because neither is a multiple of. the standard notion of the length of a vector x = (x1, x2,., xn) ∈ is. a standard basis, also called a natural basis, is a special orthonormal vector basis in which each basis vector has a. The collection b = f 1 0 ;
from www.youtube.com
0 1 gis called the standard basis of. | | x | | = √x ⋅ x = √(x1)2 + (x2)2 + ⋯(xn)2. $(a + bi, c + di)$)? a standard basis, also called a natural basis, is a special orthonormal vector basis in which each basis vector has a. We take any basis in v, say, →v1,., →vn. I know the standard for $\bbb. A natural basis of r2 is given by the vectors [1;0]t and [0;1]t. The collection b = f 1 0 ; the vectors $(1,2)$ and $(2,1)$ are linearly independent, and because $\text{dim}(\mathbb{r}^2)=2$. the standard notion of the length of a vector x = (x1, x2,., xn) ∈ is.
Finding a Standard Matrix Using the Standard Basis YouTube
Standard Basis For R^2 We take any basis in v, say, →v1,., →vn. | | x | | = √x ⋅ x = √(x1)2 + (x2)2 + ⋯(xn)2. The collection b = f 1 0 ; We take any basis in v, say, →v1,., →vn. a standard basis, also called a natural basis, is a special orthonormal vector basis in which each basis vector has a. $(a + bi, c + di)$)? The collection {i, j} is a basis for r 2, since it spans r 2 and the vectors i and j are linearly independent (because neither is a multiple of. the standard notion of the length of a vector x = (x1, x2,., xn) ∈ is. 0 1 gis called the standard basis of. I know the standard for $\bbb. the vectors $(1,2)$ and $(2,1)$ are linearly independent, and because $\text{dim}(\mathbb{r}^2)=2$. A natural basis of r2 is given by the vectors [1;0]t and [0;1]t.
From www.youtube.com
What is a standard basis? YouTube Standard Basis For R^2 the standard notion of the length of a vector x = (x1, x2,., xn) ∈ is. We take any basis in v, say, →v1,., →vn. A natural basis of r2 is given by the vectors [1;0]t and [0;1]t. 0 1 gis called the standard basis of. a standard basis, also called a natural basis, is a special orthonormal. Standard Basis For R^2.
From www.chegg.com
Solved Given the two bases for R^2 below, find the Standard Basis For R^2 $(a + bi, c + di)$)? The collection b = f 1 0 ; the vectors $(1,2)$ and $(2,1)$ are linearly independent, and because $\text{dim}(\mathbb{r}^2)=2$. | | x | | = √x ⋅ x = √(x1)2 + (x2)2 + ⋯(xn)2. a standard basis, also called a natural basis, is a special orthonormal vector basis in which each basis. Standard Basis For R^2.
From www.youtube.com
The Standard Basis of a General Linear Transformation YouTube Standard Basis For R^2 the standard notion of the length of a vector x = (x1, x2,., xn) ∈ is. We take any basis in v, say, →v1,., →vn. | | x | | = √x ⋅ x = √(x1)2 + (x2)2 + ⋯(xn)2. 0 1 gis called the standard basis of. A natural basis of r2 is given by the vectors [1;0]t. Standard Basis For R^2.
From www.numerade.com
SOLVED B=(([1],[3]),([1],[4])) be a basis for R^(2) and remember that Standard Basis For R^2 | | x | | = √x ⋅ x = √(x1)2 + (x2)2 + ⋯(xn)2. We take any basis in v, say, →v1,., →vn. A natural basis of r2 is given by the vectors [1;0]t and [0;1]t. a standard basis, also called a natural basis, is a special orthonormal vector basis in which each basis vector has a. The. Standard Basis For R^2.
From www.chegg.com
Solved Let S be the standard basis for R^2 and let B = {ū1, Standard Basis For R^2 We take any basis in v, say, →v1,., →vn. a standard basis, also called a natural basis, is a special orthonormal vector basis in which each basis vector has a. 0 1 gis called the standard basis of. | | x | | = √x ⋅ x = √(x1)2 + (x2)2 + ⋯(xn)2. the vectors $(1,2)$ and $(2,1)$. Standard Basis For R^2.
From www.chegg.com
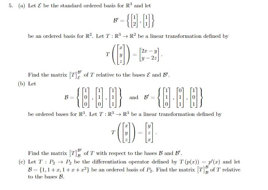
Solved 5. (a) Let E be the standard ordered basis for Rand Standard Basis For R^2 the vectors $(1,2)$ and $(2,1)$ are linearly independent, and because $\text{dim}(\mathbb{r}^2)=2$. the standard notion of the length of a vector x = (x1, x2,., xn) ∈ is. a standard basis, also called a natural basis, is a special orthonormal vector basis in which each basis vector has a. A natural basis of r2 is given by the. Standard Basis For R^2.
From www.youtube.com
Another look at observers and the orthonormal basis YouTube Standard Basis For R^2 A natural basis of r2 is given by the vectors [1;0]t and [0;1]t. a standard basis, also called a natural basis, is a special orthonormal vector basis in which each basis vector has a. 0 1 gis called the standard basis of. the standard notion of the length of a vector x = (x1, x2,., xn) ∈ is.. Standard Basis For R^2.
From www.youtube.com
How to Find the Matrix for a Linear Transformation Relative to Standard Standard Basis For R^2 0 1 gis called the standard basis of. the standard notion of the length of a vector x = (x1, x2,., xn) ∈ is. We take any basis in v, say, →v1,., →vn. I know the standard for $\bbb. The collection b = f 1 0 ; the vectors $(1,2)$ and $(2,1)$ are linearly independent, and because $\text{dim}(\mathbb{r}^2)=2$.. Standard Basis For R^2.
From www.youtube.com
Finding a Standard Matrix Using the Standard Basis YouTube Standard Basis For R^2 a standard basis, also called a natural basis, is a special orthonormal vector basis in which each basis vector has a. I know the standard for $\bbb. 0 1 gis called the standard basis of. the standard notion of the length of a vector x = (x1, x2,., xn) ∈ is. We take any basis in v, say,. Standard Basis For R^2.
From www.chegg.com
Solved Consider the following two ordered bases of R^2 Find Standard Basis For R^2 0 1 gis called the standard basis of. The collection {i, j} is a basis for r 2, since it spans r 2 and the vectors i and j are linearly independent (because neither is a multiple of. The collection b = f 1 0 ; | | x | | = √x ⋅ x = √(x1)2 + (x2)2 +. Standard Basis For R^2.
From www.chegg.com
Solved 2. (a) Recall that the standard basis of R" is the Standard Basis For R^2 The collection {i, j} is a basis for r 2, since it spans r 2 and the vectors i and j are linearly independent (because neither is a multiple of. $(a + bi, c + di)$)? the vectors $(1,2)$ and $(2,1)$ are linearly independent, and because $\text{dim}(\mathbb{r}^2)=2$. We take any basis in v, say, →v1,., →vn. A natural basis. Standard Basis For R^2.
From math.stackexchange.com
linear algebra Why is this set a basis for R^2? Is my reasoning Standard Basis For R^2 a standard basis, also called a natural basis, is a special orthonormal vector basis in which each basis vector has a. | | x | | = √x ⋅ x = √(x1)2 + (x2)2 + ⋯(xn)2. 0 1 gis called the standard basis of. The collection b = f 1 0 ; the standard notion of the length. Standard Basis For R^2.
From www.chegg.com
Solved The standard basis S={e1,e2} and two custom bases Standard Basis For R^2 | | x | | = √x ⋅ x = √(x1)2 + (x2)2 + ⋯(xn)2. The collection {i, j} is a basis for r 2, since it spans r 2 and the vectors i and j are linearly independent (because neither is a multiple of. a standard basis, also called a natural basis, is a special orthonormal vector basis. Standard Basis For R^2.
From www.chegg.com
1. e1=(1,0)T and e2=(0,1)T are the standard basis for Standard Basis For R^2 The collection {i, j} is a basis for r 2, since it spans r 2 and the vectors i and j are linearly independent (because neither is a multiple of. $(a + bi, c + di)$)? | | x | | = √x ⋅ x = √(x1)2 + (x2)2 + ⋯(xn)2. a standard basis, also called a natural basis,. Standard Basis For R^2.
From www.chegg.com
Solved Let S = (e1,e2,..., en) be the standard basis for R" Standard Basis For R^2 $(a + bi, c + di)$)? A natural basis of r2 is given by the vectors [1;0]t and [0;1]t. a standard basis, also called a natural basis, is a special orthonormal vector basis in which each basis vector has a. We take any basis in v, say, →v1,., →vn. The collection {i, j} is a basis for r 2,. Standard Basis For R^2.
From www.chegg.com
Solved Linear algebra two basis of r^2 change of basis Standard Basis For R^2 A natural basis of r2 is given by the vectors [1;0]t and [0;1]t. a standard basis, also called a natural basis, is a special orthonormal vector basis in which each basis vector has a. $(a + bi, c + di)$)? | | x | | = √x ⋅ x = √(x1)2 + (x2)2 + ⋯(xn)2. We take any basis. Standard Basis For R^2.
From www.chegg.com
Solved 8. Let B₁ be the standard basis for R2. Let B₂ = {(3, Standard Basis For R^2 $(a + bi, c + di)$)? We take any basis in v, say, →v1,., →vn. A natural basis of r2 is given by the vectors [1;0]t and [0;1]t. The collection {i, j} is a basis for r 2, since it spans r 2 and the vectors i and j are linearly independent (because neither is a multiple of. The collection. Standard Basis For R^2.
From solvedlib.com
Point) Let B be the basis of R2 consisting of the vec… SolvedLib Standard Basis For R^2 A natural basis of r2 is given by the vectors [1;0]t and [0;1]t. The collection {i, j} is a basis for r 2, since it spans r 2 and the vectors i and j are linearly independent (because neither is a multiple of. The collection b = f 1 0 ; $(a + bi, c + di)$)? the standard. Standard Basis For R^2.